++ 50 ++ Mf 168 Parts 116065-Mf 168 Parts
Wagga Tractor Parts Fpm6804 Fuel Lift Pump Massey Ferguson Mf 168 175 178 185 1 Tractor W Perkins 4 212 4 236 4 248 Engine With 4 Bolt Mount Pump
Tractor Parts Featured Products;Spare parts of tractor and heavy equipments home;
Mf 168 parts
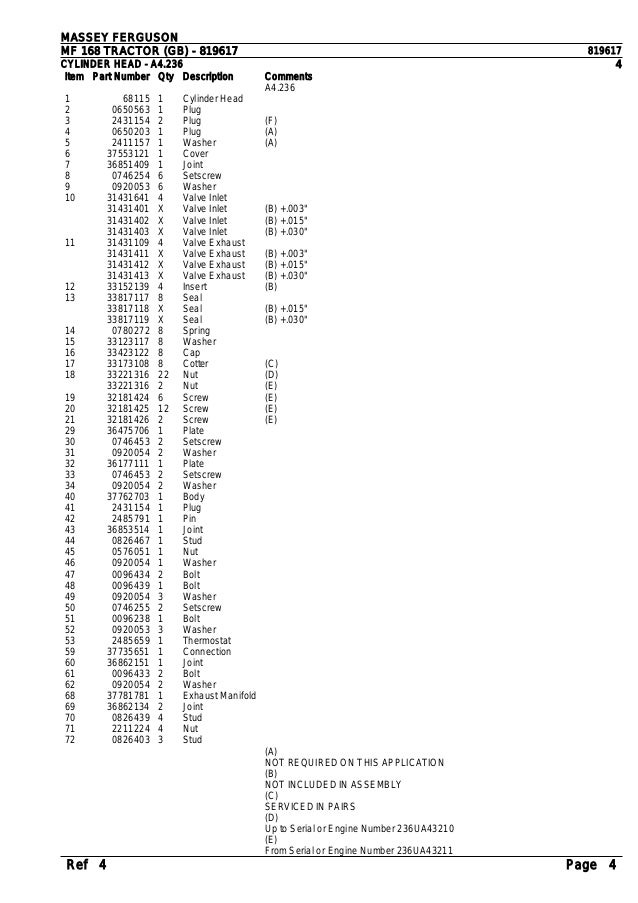
Mf 168 parts- massey ferguson mf 165/168/185/1 tractors, > (fr) electrical equipment 1 7 item part number qty description comments 1 185 168 165 1Queensland Tractor Spares offer a wide range of Tractor Spares and Parts such as 100 Series (135 699) to suit tractors and machinery 1300 850 097 email MF 175, 178, 185, Dual Clutch
Fuel Tank 165 168 Quality Tractor Parts Ltd
MF 168 Sheet Metal / Body Parts (3) Bumpers, battery boxes and trays, grills, fenders, hoods and hood panels, frame rails, dash cowling and covers, tool boxes, nose caps, running boards, sideFan rear To fit as Massey Ferguson Tractor types MF 165, MF 168, MF 175, MF 178, MF 185, MF 1 Brand GRANIT RefNo , 508E8605,1975 MASSEY FERGUSON 168 40 HP to 99 HP Tractors 5 Massey Ferguson 168, 2wd tractor, 69 horsepower, rebuilt to a very high standard, new tyres, dyno tested to ensure correct power and
At Massey Parts we sell Massey Ferguson parts and merchandise all over the world We sell a broad range of products across a variety of categories MF 35 Deluxe Model Collectors BoxBuy your NEW Alternator Fits Massey Ferguson Farm Tractors MF148 MF152 MF168 MF184 at the best price online on Canadian market Text or Call at Fast Shipping CanadaSilver Fox Tractor Spares supply a full range of spares and parts to fit the Massey Ferguson 165, 168 tractor range items 0 total £000 currency View Trolley home;
Mf 168 partsのギャラリー
各画像をクリックすると、ダウンロードまたは拡大表示できます
![]() Agricultural Tractor Generator Diesel Engine Spare Parts Oem Supplier Water Pump Assy U5mw0104 For Massey Ferguson Mf 165 168 Buy Agricultural Diesel Engine Water Pump Assy Massey Ferguson Mf Water Pump Assy Generator Engine | ![]() Agricultural Tractor Generator Diesel Engine Spare Parts Oem Supplier Water Pump Assy U5mw0104 For Massey Ferguson Mf 165 168 Buy Agricultural Diesel Engine Water Pump Assy Massey Ferguson Mf Water Pump Assy Generator Engine | ![]() Agricultural Tractor Generator Diesel Engine Spare Parts Oem Supplier Water Pump Assy U5mw0104 For Massey Ferguson Mf 165 168 Buy Agricultural Diesel Engine Water Pump Assy Massey Ferguson Mf Water Pump Assy Generator Engine |
![]() Agricultural Tractor Generator Diesel Engine Spare Parts Oem Supplier Water Pump Assy U5mw0104 For Massey Ferguson Mf 165 168 Buy Agricultural Diesel Engine Water Pump Assy Massey Ferguson Mf Water Pump Assy Generator Engine | ![]() Agricultural Tractor Generator Diesel Engine Spare Parts Oem Supplier Water Pump Assy U5mw0104 For Massey Ferguson Mf 165 168 Buy Agricultural Diesel Engine Water Pump Assy Massey Ferguson Mf Water Pump Assy Generator Engine | ![]() Agricultural Tractor Generator Diesel Engine Spare Parts Oem Supplier Water Pump Assy U5mw0104 For Massey Ferguson Mf 165 168 Buy Agricultural Diesel Engine Water Pump Assy Massey Ferguson Mf Water Pump Assy Generator Engine |
![]() Agricultural Tractor Generator Diesel Engine Spare Parts Oem Supplier Water Pump Assy U5mw0104 For Massey Ferguson Mf 165 168 Buy Agricultural Diesel Engine Water Pump Assy Massey Ferguson Mf Water Pump Assy Generator Engine | ![]() Agricultural Tractor Generator Diesel Engine Spare Parts Oem Supplier Water Pump Assy U5mw0104 For Massey Ferguson Mf 165 168 Buy Agricultural Diesel Engine Water Pump Assy Massey Ferguson Mf Water Pump Assy Generator Engine | Agricultural Tractor Generator Diesel Engine Spare Parts Oem Supplier Water Pump Assy U5mw0104 For Massey Ferguson Mf 165 168 Buy Agricultural Diesel Engine Water Pump Assy Massey Ferguson Mf Water Pump Assy Generator Engine |
「Mf 168 parts」の画像ギャラリー、詳細は各画像をクリックしてください。
Agricultural Tractor Generator Diesel Engine Spare Parts Oem Supplier Water Pump Assy U5mw0104 For Massey Ferguson Mf 165 168 Buy Agricultural Diesel Engine Water Pump Assy Massey Ferguson Mf Water Pump Assy Generator Engine | Agricultural Tractor Generator Diesel Engine Spare Parts Oem Supplier Water Pump Assy U5mw0104 For Massey Ferguson Mf 165 168 Buy Agricultural Diesel Engine Water Pump Assy Massey Ferguson Mf Water Pump Assy Generator Engine | ![]() Agricultural Tractor Generator Diesel Engine Spare Parts Oem Supplier Water Pump Assy U5mw0104 For Massey Ferguson Mf 165 168 Buy Agricultural Diesel Engine Water Pump Assy Massey Ferguson Mf Water Pump Assy Generator Engine |
![]() Agricultural Tractor Generator Diesel Engine Spare Parts Oem Supplier Water Pump Assy U5mw0104 For Massey Ferguson Mf 165 168 Buy Agricultural Diesel Engine Water Pump Assy Massey Ferguson Mf Water Pump Assy Generator Engine | ![]() Agricultural Tractor Generator Diesel Engine Spare Parts Oem Supplier Water Pump Assy U5mw0104 For Massey Ferguson Mf 165 168 Buy Agricultural Diesel Engine Water Pump Assy Massey Ferguson Mf Water Pump Assy Generator Engine | Agricultural Tractor Generator Diesel Engine Spare Parts Oem Supplier Water Pump Assy U5mw0104 For Massey Ferguson Mf 165 168 Buy Agricultural Diesel Engine Water Pump Assy Massey Ferguson Mf Water Pump Assy Generator Engine |
![]() Agricultural Tractor Generator Diesel Engine Spare Parts Oem Supplier Water Pump Assy U5mw0104 For Massey Ferguson Mf 165 168 Buy Agricultural Diesel Engine Water Pump Assy Massey Ferguson Mf Water Pump Assy Generator Engine | ![]() Agricultural Tractor Generator Diesel Engine Spare Parts Oem Supplier Water Pump Assy U5mw0104 For Massey Ferguson Mf 165 168 Buy Agricultural Diesel Engine Water Pump Assy Massey Ferguson Mf Water Pump Assy Generator Engine | ![]() Agricultural Tractor Generator Diesel Engine Spare Parts Oem Supplier Water Pump Assy U5mw0104 For Massey Ferguson Mf 165 168 Buy Agricultural Diesel Engine Water Pump Assy Massey Ferguson Mf Water Pump Assy Generator Engine |
「Mf 168 parts」の画像ギャラリー、詳細は各画像をクリックしてください。
![]() Agricultural Tractor Generator Diesel Engine Spare Parts Oem Supplier Water Pump Assy U5mw0104 For Massey Ferguson Mf 165 168 Buy Agricultural Diesel Engine Water Pump Assy Massey Ferguson Mf Water Pump Assy Generator Engine | ![]() Agricultural Tractor Generator Diesel Engine Spare Parts Oem Supplier Water Pump Assy U5mw0104 For Massey Ferguson Mf 165 168 Buy Agricultural Diesel Engine Water Pump Assy Massey Ferguson Mf Water Pump Assy Generator Engine | ![]() Agricultural Tractor Generator Diesel Engine Spare Parts Oem Supplier Water Pump Assy U5mw0104 For Massey Ferguson Mf 165 168 Buy Agricultural Diesel Engine Water Pump Assy Massey Ferguson Mf Water Pump Assy Generator Engine |
![]() Agricultural Tractor Generator Diesel Engine Spare Parts Oem Supplier Water Pump Assy U5mw0104 For Massey Ferguson Mf 165 168 Buy Agricultural Diesel Engine Water Pump Assy Massey Ferguson Mf Water Pump Assy Generator Engine | Agricultural Tractor Generator Diesel Engine Spare Parts Oem Supplier Water Pump Assy U5mw0104 For Massey Ferguson Mf 165 168 Buy Agricultural Diesel Engine Water Pump Assy Massey Ferguson Mf Water Pump Assy Generator Engine | ![]() Agricultural Tractor Generator Diesel Engine Spare Parts Oem Supplier Water Pump Assy U5mw0104 For Massey Ferguson Mf 165 168 Buy Agricultural Diesel Engine Water Pump Assy Massey Ferguson Mf Water Pump Assy Generator Engine |
Agricultural Tractor Generator Diesel Engine Spare Parts Oem Supplier Water Pump Assy U5mw0104 For Massey Ferguson Mf 165 168 Buy Agricultural Diesel Engine Water Pump Assy Massey Ferguson Mf Water Pump Assy Generator Engine | Agricultural Tractor Generator Diesel Engine Spare Parts Oem Supplier Water Pump Assy U5mw0104 For Massey Ferguson Mf 165 168 Buy Agricultural Diesel Engine Water Pump Assy Massey Ferguson Mf Water Pump Assy Generator Engine | ![]() Agricultural Tractor Generator Diesel Engine Spare Parts Oem Supplier Water Pump Assy U5mw0104 For Massey Ferguson Mf 165 168 Buy Agricultural Diesel Engine Water Pump Assy Massey Ferguson Mf Water Pump Assy Generator Engine |
「Mf 168 parts」の画像ギャラリー、詳細は各画像をクリックしてください。
![]() Agricultural Tractor Generator Diesel Engine Spare Parts Oem Supplier Water Pump Assy U5mw0104 For Massey Ferguson Mf 165 168 Buy Agricultural Diesel Engine Water Pump Assy Massey Ferguson Mf Water Pump Assy Generator Engine | ![]() Agricultural Tractor Generator Diesel Engine Spare Parts Oem Supplier Water Pump Assy U5mw0104 For Massey Ferguson Mf 165 168 Buy Agricultural Diesel Engine Water Pump Assy Massey Ferguson Mf Water Pump Assy Generator Engine | ![]() Agricultural Tractor Generator Diesel Engine Spare Parts Oem Supplier Water Pump Assy U5mw0104 For Massey Ferguson Mf 165 168 Buy Agricultural Diesel Engine Water Pump Assy Massey Ferguson Mf Water Pump Assy Generator Engine |
![]() Agricultural Tractor Generator Diesel Engine Spare Parts Oem Supplier Water Pump Assy U5mw0104 For Massey Ferguson Mf 165 168 Buy Agricultural Diesel Engine Water Pump Assy Massey Ferguson Mf Water Pump Assy Generator Engine | Agricultural Tractor Generator Diesel Engine Spare Parts Oem Supplier Water Pump Assy U5mw0104 For Massey Ferguson Mf 165 168 Buy Agricultural Diesel Engine Water Pump Assy Massey Ferguson Mf Water Pump Assy Generator Engine | ![]() Agricultural Tractor Generator Diesel Engine Spare Parts Oem Supplier Water Pump Assy U5mw0104 For Massey Ferguson Mf 165 168 Buy Agricultural Diesel Engine Water Pump Assy Massey Ferguson Mf Water Pump Assy Generator Engine |
![]() Agricultural Tractor Generator Diesel Engine Spare Parts Oem Supplier Water Pump Assy U5mw0104 For Massey Ferguson Mf 165 168 Buy Agricultural Diesel Engine Water Pump Assy Massey Ferguson Mf Water Pump Assy Generator Engine | ![]() Agricultural Tractor Generator Diesel Engine Spare Parts Oem Supplier Water Pump Assy U5mw0104 For Massey Ferguson Mf 165 168 Buy Agricultural Diesel Engine Water Pump Assy Massey Ferguson Mf Water Pump Assy Generator Engine | ![]() Agricultural Tractor Generator Diesel Engine Spare Parts Oem Supplier Water Pump Assy U5mw0104 For Massey Ferguson Mf 165 168 Buy Agricultural Diesel Engine Water Pump Assy Massey Ferguson Mf Water Pump Assy Generator Engine |
「Mf 168 parts」の画像ギャラリー、詳細は各画像をクリックしてください。
![]() Agricultural Tractor Generator Diesel Engine Spare Parts Oem Supplier Water Pump Assy U5mw0104 For Massey Ferguson Mf 165 168 Buy Agricultural Diesel Engine Water Pump Assy Massey Ferguson Mf Water Pump Assy Generator Engine | ![]() Agricultural Tractor Generator Diesel Engine Spare Parts Oem Supplier Water Pump Assy U5mw0104 For Massey Ferguson Mf 165 168 Buy Agricultural Diesel Engine Water Pump Assy Massey Ferguson Mf Water Pump Assy Generator Engine | ![]() Agricultural Tractor Generator Diesel Engine Spare Parts Oem Supplier Water Pump Assy U5mw0104 For Massey Ferguson Mf 165 168 Buy Agricultural Diesel Engine Water Pump Assy Massey Ferguson Mf Water Pump Assy Generator Engine |
Agricultural Tractor Generator Diesel Engine Spare Parts Oem Supplier Water Pump Assy U5mw0104 For Massey Ferguson Mf 165 168 Buy Agricultural Diesel Engine Water Pump Assy Massey Ferguson Mf Water Pump Assy Generator Engine | ![]() Agricultural Tractor Generator Diesel Engine Spare Parts Oem Supplier Water Pump Assy U5mw0104 For Massey Ferguson Mf 165 168 Buy Agricultural Diesel Engine Water Pump Assy Massey Ferguson Mf Water Pump Assy Generator Engine | ![]() Agricultural Tractor Generator Diesel Engine Spare Parts Oem Supplier Water Pump Assy U5mw0104 For Massey Ferguson Mf 165 168 Buy Agricultural Diesel Engine Water Pump Assy Massey Ferguson Mf Water Pump Assy Generator Engine |
![]() Agricultural Tractor Generator Diesel Engine Spare Parts Oem Supplier Water Pump Assy U5mw0104 For Massey Ferguson Mf 165 168 Buy Agricultural Diesel Engine Water Pump Assy Massey Ferguson Mf Water Pump Assy Generator Engine | ![]() Agricultural Tractor Generator Diesel Engine Spare Parts Oem Supplier Water Pump Assy U5mw0104 For Massey Ferguson Mf 165 168 Buy Agricultural Diesel Engine Water Pump Assy Massey Ferguson Mf Water Pump Assy Generator Engine | ![]() Agricultural Tractor Generator Diesel Engine Spare Parts Oem Supplier Water Pump Assy U5mw0104 For Massey Ferguson Mf 165 168 Buy Agricultural Diesel Engine Water Pump Assy Massey Ferguson Mf Water Pump Assy Generator Engine |
「Mf 168 parts」の画像ギャラリー、詳細は各画像をクリックしてください。
![]() Agricultural Tractor Generator Diesel Engine Spare Parts Oem Supplier Water Pump Assy U5mw0104 For Massey Ferguson Mf 165 168 Buy Agricultural Diesel Engine Water Pump Assy Massey Ferguson Mf Water Pump Assy Generator Engine | Agricultural Tractor Generator Diesel Engine Spare Parts Oem Supplier Water Pump Assy U5mw0104 For Massey Ferguson Mf 165 168 Buy Agricultural Diesel Engine Water Pump Assy Massey Ferguson Mf Water Pump Assy Generator Engine | ![]() Agricultural Tractor Generator Diesel Engine Spare Parts Oem Supplier Water Pump Assy U5mw0104 For Massey Ferguson Mf 165 168 Buy Agricultural Diesel Engine Water Pump Assy Massey Ferguson Mf Water Pump Assy Generator Engine |
Agricultural Tractor Generator Diesel Engine Spare Parts Oem Supplier Water Pump Assy U5mw0104 For Massey Ferguson Mf 165 168 Buy Agricultural Diesel Engine Water Pump Assy Massey Ferguson Mf Water Pump Assy Generator Engine | ![]() Agricultural Tractor Generator Diesel Engine Spare Parts Oem Supplier Water Pump Assy U5mw0104 For Massey Ferguson Mf 165 168 Buy Agricultural Diesel Engine Water Pump Assy Massey Ferguson Mf Water Pump Assy Generator Engine | ![]() Agricultural Tractor Generator Diesel Engine Spare Parts Oem Supplier Water Pump Assy U5mw0104 For Massey Ferguson Mf 165 168 Buy Agricultural Diesel Engine Water Pump Assy Massey Ferguson Mf Water Pump Assy Generator Engine |
![]() Agricultural Tractor Generator Diesel Engine Spare Parts Oem Supplier Water Pump Assy U5mw0104 For Massey Ferguson Mf 165 168 Buy Agricultural Diesel Engine Water Pump Assy Massey Ferguson Mf Water Pump Assy Generator Engine | ![]() Agricultural Tractor Generator Diesel Engine Spare Parts Oem Supplier Water Pump Assy U5mw0104 For Massey Ferguson Mf 165 168 Buy Agricultural Diesel Engine Water Pump Assy Massey Ferguson Mf Water Pump Assy Generator Engine | ![]() Agricultural Tractor Generator Diesel Engine Spare Parts Oem Supplier Water Pump Assy U5mw0104 For Massey Ferguson Mf 165 168 Buy Agricultural Diesel Engine Water Pump Assy Massey Ferguson Mf Water Pump Assy Generator Engine |
「Mf 168 parts」の画像ギャラリー、詳細は各画像をクリックしてください。
Agricultural Tractor Generator Diesel Engine Spare Parts Oem Supplier Water Pump Assy U5mw0104 For Massey Ferguson Mf 165 168 Buy Agricultural Diesel Engine Water Pump Assy Massey Ferguson Mf Water Pump Assy Generator Engine | ![]() Agricultural Tractor Generator Diesel Engine Spare Parts Oem Supplier Water Pump Assy U5mw0104 For Massey Ferguson Mf 165 168 Buy Agricultural Diesel Engine Water Pump Assy Massey Ferguson Mf Water Pump Assy Generator Engine | ![]() Agricultural Tractor Generator Diesel Engine Spare Parts Oem Supplier Water Pump Assy U5mw0104 For Massey Ferguson Mf 165 168 Buy Agricultural Diesel Engine Water Pump Assy Massey Ferguson Mf Water Pump Assy Generator Engine |
![]() Agricultural Tractor Generator Diesel Engine Spare Parts Oem Supplier Water Pump Assy U5mw0104 For Massey Ferguson Mf 165 168 Buy Agricultural Diesel Engine Water Pump Assy Massey Ferguson Mf Water Pump Assy Generator Engine | ![]() Agricultural Tractor Generator Diesel Engine Spare Parts Oem Supplier Water Pump Assy U5mw0104 For Massey Ferguson Mf 165 168 Buy Agricultural Diesel Engine Water Pump Assy Massey Ferguson Mf Water Pump Assy Generator Engine | ![]() Agricultural Tractor Generator Diesel Engine Spare Parts Oem Supplier Water Pump Assy U5mw0104 For Massey Ferguson Mf 165 168 Buy Agricultural Diesel Engine Water Pump Assy Massey Ferguson Mf Water Pump Assy Generator Engine |
![]() Agricultural Tractor Generator Diesel Engine Spare Parts Oem Supplier Water Pump Assy U5mw0104 For Massey Ferguson Mf 165 168 Buy Agricultural Diesel Engine Water Pump Assy Massey Ferguson Mf Water Pump Assy Generator Engine | ![]() Agricultural Tractor Generator Diesel Engine Spare Parts Oem Supplier Water Pump Assy U5mw0104 For Massey Ferguson Mf 165 168 Buy Agricultural Diesel Engine Water Pump Assy Massey Ferguson Mf Water Pump Assy Generator Engine | Agricultural Tractor Generator Diesel Engine Spare Parts Oem Supplier Water Pump Assy U5mw0104 For Massey Ferguson Mf 165 168 Buy Agricultural Diesel Engine Water Pump Assy Massey Ferguson Mf Water Pump Assy Generator Engine |
「Mf 168 parts」の画像ギャラリー、詳細は各画像をクリックしてください。
![]() Agricultural Tractor Generator Diesel Engine Spare Parts Oem Supplier Water Pump Assy U5mw0104 For Massey Ferguson Mf 165 168 Buy Agricultural Diesel Engine Water Pump Assy Massey Ferguson Mf Water Pump Assy Generator Engine | ![]() Agricultural Tractor Generator Diesel Engine Spare Parts Oem Supplier Water Pump Assy U5mw0104 For Massey Ferguson Mf 165 168 Buy Agricultural Diesel Engine Water Pump Assy Massey Ferguson Mf Water Pump Assy Generator Engine | ![]() Agricultural Tractor Generator Diesel Engine Spare Parts Oem Supplier Water Pump Assy U5mw0104 For Massey Ferguson Mf 165 168 Buy Agricultural Diesel Engine Water Pump Assy Massey Ferguson Mf Water Pump Assy Generator Engine |
![]() Agricultural Tractor Generator Diesel Engine Spare Parts Oem Supplier Water Pump Assy U5mw0104 For Massey Ferguson Mf 165 168 Buy Agricultural Diesel Engine Water Pump Assy Massey Ferguson Mf Water Pump Assy Generator Engine | ![]() Agricultural Tractor Generator Diesel Engine Spare Parts Oem Supplier Water Pump Assy U5mw0104 For Massey Ferguson Mf 165 168 Buy Agricultural Diesel Engine Water Pump Assy Massey Ferguson Mf Water Pump Assy Generator Engine | ![]() Agricultural Tractor Generator Diesel Engine Spare Parts Oem Supplier Water Pump Assy U5mw0104 For Massey Ferguson Mf 165 168 Buy Agricultural Diesel Engine Water Pump Assy Massey Ferguson Mf Water Pump Assy Generator Engine |
![]() Agricultural Tractor Generator Diesel Engine Spare Parts Oem Supplier Water Pump Assy U5mw0104 For Massey Ferguson Mf 165 168 Buy Agricultural Diesel Engine Water Pump Assy Massey Ferguson Mf Water Pump Assy Generator Engine | ![]() Agricultural Tractor Generator Diesel Engine Spare Parts Oem Supplier Water Pump Assy U5mw0104 For Massey Ferguson Mf 165 168 Buy Agricultural Diesel Engine Water Pump Assy Massey Ferguson Mf Water Pump Assy Generator Engine | Agricultural Tractor Generator Diesel Engine Spare Parts Oem Supplier Water Pump Assy U5mw0104 For Massey Ferguson Mf 165 168 Buy Agricultural Diesel Engine Water Pump Assy Massey Ferguson Mf Water Pump Assy Generator Engine |
「Mf 168 parts」の画像ギャラリー、詳細は各画像をクリックしてください。
Agricultural Tractor Generator Diesel Engine Spare Parts Oem Supplier Water Pump Assy U5mw0104 For Massey Ferguson Mf 165 168 Buy Agricultural Diesel Engine Water Pump Assy Massey Ferguson Mf Water Pump Assy Generator Engine | ![]() Agricultural Tractor Generator Diesel Engine Spare Parts Oem Supplier Water Pump Assy U5mw0104 For Massey Ferguson Mf 165 168 Buy Agricultural Diesel Engine Water Pump Assy Massey Ferguson Mf Water Pump Assy Generator Engine | Agricultural Tractor Generator Diesel Engine Spare Parts Oem Supplier Water Pump Assy U5mw0104 For Massey Ferguson Mf 165 168 Buy Agricultural Diesel Engine Water Pump Assy Massey Ferguson Mf Water Pump Assy Generator Engine |
![]() Agricultural Tractor Generator Diesel Engine Spare Parts Oem Supplier Water Pump Assy U5mw0104 For Massey Ferguson Mf 165 168 Buy Agricultural Diesel Engine Water Pump Assy Massey Ferguson Mf Water Pump Assy Generator Engine | ![]() Agricultural Tractor Generator Diesel Engine Spare Parts Oem Supplier Water Pump Assy U5mw0104 For Massey Ferguson Mf 165 168 Buy Agricultural Diesel Engine Water Pump Assy Massey Ferguson Mf Water Pump Assy Generator Engine | Agricultural Tractor Generator Diesel Engine Spare Parts Oem Supplier Water Pump Assy U5mw0104 For Massey Ferguson Mf 165 168 Buy Agricultural Diesel Engine Water Pump Assy Massey Ferguson Mf Water Pump Assy Generator Engine |
![]() Agricultural Tractor Generator Diesel Engine Spare Parts Oem Supplier Water Pump Assy U5mw0104 For Massey Ferguson Mf 165 168 Buy Agricultural Diesel Engine Water Pump Assy Massey Ferguson Mf Water Pump Assy Generator Engine | Agricultural Tractor Generator Diesel Engine Spare Parts Oem Supplier Water Pump Assy U5mw0104 For Massey Ferguson Mf 165 168 Buy Agricultural Diesel Engine Water Pump Assy Massey Ferguson Mf Water Pump Assy Generator Engine | Agricultural Tractor Generator Diesel Engine Spare Parts Oem Supplier Water Pump Assy U5mw0104 For Massey Ferguson Mf 165 168 Buy Agricultural Diesel Engine Water Pump Assy Massey Ferguson Mf Water Pump Assy Generator Engine |
「Mf 168 parts」の画像ギャラリー、詳細は各画像をクリックしてください。
![]() Agricultural Tractor Generator Diesel Engine Spare Parts Oem Supplier Water Pump Assy U5mw0104 For Massey Ferguson Mf 165 168 Buy Agricultural Diesel Engine Water Pump Assy Massey Ferguson Mf Water Pump Assy Generator Engine | ![]() Agricultural Tractor Generator Diesel Engine Spare Parts Oem Supplier Water Pump Assy U5mw0104 For Massey Ferguson Mf 165 168 Buy Agricultural Diesel Engine Water Pump Assy Massey Ferguson Mf Water Pump Assy Generator Engine | ![]() Agricultural Tractor Generator Diesel Engine Spare Parts Oem Supplier Water Pump Assy U5mw0104 For Massey Ferguson Mf 165 168 Buy Agricultural Diesel Engine Water Pump Assy Massey Ferguson Mf Water Pump Assy Generator Engine |
Agricultural Tractor Generator Diesel Engine Spare Parts Oem Supplier Water Pump Assy U5mw0104 For Massey Ferguson Mf 165 168 Buy Agricultural Diesel Engine Water Pump Assy Massey Ferguson Mf Water Pump Assy Generator Engine | ![]() Agricultural Tractor Generator Diesel Engine Spare Parts Oem Supplier Water Pump Assy U5mw0104 For Massey Ferguson Mf 165 168 Buy Agricultural Diesel Engine Water Pump Assy Massey Ferguson Mf Water Pump Assy Generator Engine | Agricultural Tractor Generator Diesel Engine Spare Parts Oem Supplier Water Pump Assy U5mw0104 For Massey Ferguson Mf 165 168 Buy Agricultural Diesel Engine Water Pump Assy Massey Ferguson Mf Water Pump Assy Generator Engine |
Agricultural Tractor Generator Diesel Engine Spare Parts Oem Supplier Water Pump Assy U5mw0104 For Massey Ferguson Mf 165 168 Buy Agricultural Diesel Engine Water Pump Assy Massey Ferguson Mf Water Pump Assy Generator Engine | ![]() Agricultural Tractor Generator Diesel Engine Spare Parts Oem Supplier Water Pump Assy U5mw0104 For Massey Ferguson Mf 165 168 Buy Agricultural Diesel Engine Water Pump Assy Massey Ferguson Mf Water Pump Assy Generator Engine | Agricultural Tractor Generator Diesel Engine Spare Parts Oem Supplier Water Pump Assy U5mw0104 For Massey Ferguson Mf 165 168 Buy Agricultural Diesel Engine Water Pump Assy Massey Ferguson Mf Water Pump Assy Generator Engine |
「Mf 168 parts」の画像ギャラリー、詳細は各画像をクリックしてください。
![]() Agricultural Tractor Generator Diesel Engine Spare Parts Oem Supplier Water Pump Assy U5mw0104 For Massey Ferguson Mf 165 168 Buy Agricultural Diesel Engine Water Pump Assy Massey Ferguson Mf Water Pump Assy Generator Engine | ![]() Agricultural Tractor Generator Diesel Engine Spare Parts Oem Supplier Water Pump Assy U5mw0104 For Massey Ferguson Mf 165 168 Buy Agricultural Diesel Engine Water Pump Assy Massey Ferguson Mf Water Pump Assy Generator Engine | ![]() Agricultural Tractor Generator Diesel Engine Spare Parts Oem Supplier Water Pump Assy U5mw0104 For Massey Ferguson Mf 165 168 Buy Agricultural Diesel Engine Water Pump Assy Massey Ferguson Mf Water Pump Assy Generator Engine |
![]() Agricultural Tractor Generator Diesel Engine Spare Parts Oem Supplier Water Pump Assy U5mw0104 For Massey Ferguson Mf 165 168 Buy Agricultural Diesel Engine Water Pump Assy Massey Ferguson Mf Water Pump Assy Generator Engine | ![]() Agricultural Tractor Generator Diesel Engine Spare Parts Oem Supplier Water Pump Assy U5mw0104 For Massey Ferguson Mf 165 168 Buy Agricultural Diesel Engine Water Pump Assy Massey Ferguson Mf Water Pump Assy Generator Engine | ![]() Agricultural Tractor Generator Diesel Engine Spare Parts Oem Supplier Water Pump Assy U5mw0104 For Massey Ferguson Mf 165 168 Buy Agricultural Diesel Engine Water Pump Assy Massey Ferguson Mf Water Pump Assy Generator Engine |
Agricultural Tractor Generator Diesel Engine Spare Parts Oem Supplier Water Pump Assy U5mw0104 For Massey Ferguson Mf 165 168 Buy Agricultural Diesel Engine Water Pump Assy Massey Ferguson Mf Water Pump Assy Generator Engine | ![]() Agricultural Tractor Generator Diesel Engine Spare Parts Oem Supplier Water Pump Assy U5mw0104 For Massey Ferguson Mf 165 168 Buy Agricultural Diesel Engine Water Pump Assy Massey Ferguson Mf Water Pump Assy Generator Engine | ![]() Agricultural Tractor Generator Diesel Engine Spare Parts Oem Supplier Water Pump Assy U5mw0104 For Massey Ferguson Mf 165 168 Buy Agricultural Diesel Engine Water Pump Assy Massey Ferguson Mf Water Pump Assy Generator Engine |
「Mf 168 parts」の画像ギャラリー、詳細は各画像をクリックしてください。
Agricultural Tractor Generator Diesel Engine Spare Parts Oem Supplier Water Pump Assy U5mw0104 For Massey Ferguson Mf 165 168 Buy Agricultural Diesel Engine Water Pump Assy Massey Ferguson Mf Water Pump Assy Generator Engine | ![]() Agricultural Tractor Generator Diesel Engine Spare Parts Oem Supplier Water Pump Assy U5mw0104 For Massey Ferguson Mf 165 168 Buy Agricultural Diesel Engine Water Pump Assy Massey Ferguson Mf Water Pump Assy Generator Engine | ![]() Agricultural Tractor Generator Diesel Engine Spare Parts Oem Supplier Water Pump Assy U5mw0104 For Massey Ferguson Mf 165 168 Buy Agricultural Diesel Engine Water Pump Assy Massey Ferguson Mf Water Pump Assy Generator Engine |
Agricultural Tractor Generator Diesel Engine Spare Parts Oem Supplier Water Pump Assy U5mw0104 For Massey Ferguson Mf 165 168 Buy Agricultural Diesel Engine Water Pump Assy Massey Ferguson Mf Water Pump Assy Generator Engine | ![]() Agricultural Tractor Generator Diesel Engine Spare Parts Oem Supplier Water Pump Assy U5mw0104 For Massey Ferguson Mf 165 168 Buy Agricultural Diesel Engine Water Pump Assy Massey Ferguson Mf Water Pump Assy Generator Engine |
(Suit MF168 & EMFH) 2 FMUFFLW8 Solenoid Valve (Complete) 4 LPGASCOV Thermocouple Element, 230mm plus 75mm, Type "K" 6 PC101LCF Recommended Minimum Spare Parts ListFarming Parts are an official supplier of Massey Ferguson parts and merchandise We have thousands of genuine Massey Ferguson parts available online as well as access to thousands
Incoming Term: mf 168 parts, massey ferguson 168 parts, massey ferguson mf 168 parts, massey ferguson 168 tractor parts,













































































コメント
コメントを投稿